Phone:
(925) 687-9961
Clubhouse:
(925) 825-0250
Email:
businessoffice@walnutcountry.com
Connect with Us
MENU
Home
Facilities
Clubhouse
Reservations
Clubhouse Gym
Business Office
Pools
Greenbelt
Tennis Courts
Playgrounds
Basketball Courts
Dog Parks
Central Water Tank
History
Photo Gallery
News & Signal
Signal Newsletters
Community News
eSignal
Board & Committees
Board Meeting Agendas & Minutes
Committee Charters, Minutes, and Agendas
Governing Documents
Homeowners
Pay HOA Assessments
Documents, Policies, & Forms
Keys
Modifications to your Property
Repainting Your Home
Rental Procedures & Information
Contact Us
Escrow Docs
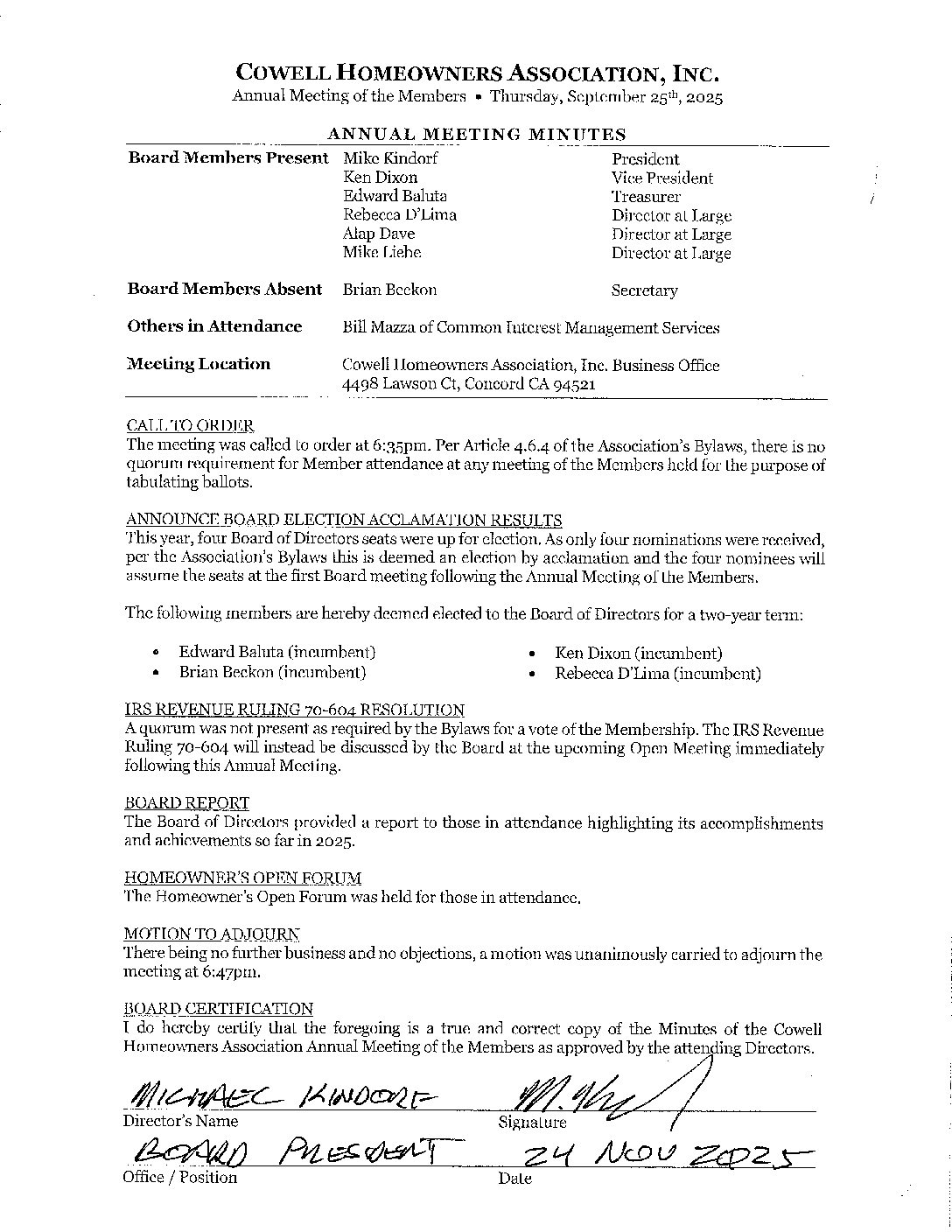
2025-09-25 – Annual Meeting Minutes